Riementrieb Berechnung 24.05.2008, 14:26

Berechnung am Riementrieb (Ausschnitt)

Drehzahl, Umfangsgeschwindigkeit, Übersetzungsverhältnis: Was am Riementrieb anschaulich gelehrt und gelernt werden kann, ist die Grundlage für eine Reihe anderer Techniken.

Anzeige
Anzeige
  • (geändert: )

So rechnet man‘s - 2. Ausbildungsjahr

Drehzahlen kann man auf verschiedene Arten verändern. Drei häufig verwendete mechanische Systeme dafür sind Antriebe durch Riemen, Ketten und Zahnräder. Von diesen wollen wir uns hier den Riemenbetrieb ansehen.

Antrieb, Abtrieb

Riemen: Antrieb, Abtrieb

Die Größen, die am Riementrieb rechnerisch von Bedeutung sind, sind die Scheibendurchmesser d1 und d2 und die Drehzahlen n1 und n2 (Zeichnung rechts: Antrieb A). Bei den Fußzahlen (oder »Indizes«) 1 und 2 hat man sich darauf geeinigt, dass 1 immer die Antriebsseite und 2 die Abtriebsseite meint. d1 und n1 sind also der Durchmesser und die Drehzahl der treibenden Scheibe. Dies gilt auch für Ketten- und Zahnräder. Die Indizes 1 und 2 dürfen auf keinen Fall vertauscht werden.

Vergleichen wir Antrieb A und Antrieb B. Wenn die Antriebsdrehzahl in beiden Fällen 1000 1/min wäre: In welche Richtung verändern sich dann die Abtriebsdrehzahlen?
Wenn Sie gefunden haben, dass sich im Fall von Antrieb A die Abtriebszahl verringert (= Übersetzung ins Langsame), im Fall von Antrieb B dagegen vergrößert (= Übersetzung ins Schnelle), dann war Ihre Überlegung richtig.
 

Rechenformeln

(v = Riemengeschwindigkeit in m/s oder m/min)

Wir müssen in der Lage sein, jeweils eine der erwähnten Größen auszurechnen, also n1 oder n2 oder d1 oder d2. Außerdem benötigen wir in diesen Rechnungen immer wieder das »Übersetzungsverhältnis« i.

Betrachten Sie Antrieb A: Wenn der Riemen läuft, besitzt er zwangsläufig an jeder Stelle dieselbe Geschwindigkeit v. Die Riemengeschwindigkeit v ist also auf Scheibe 1 gleich groß wie auf Scheibe 2:
v1 = v2

Für v können wir aber auch schreiben:

Formeln: Riementrieb 

Berichtigung: i = 2,5 ist falsch. 180 : 80 ergibt 2,25

Merksatz:

Ist i > 1, geht die Übersetzung ins Langsame.
Ist i < 1, geht die Übersetzung ins Schnelle.

Riementrieb: Weitere Aufgaben

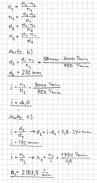
a) Stellen Sie die Grundformel 1 nach d1, n1, d2 und n2 um. Prüfen Sie Ihre Ergebnisse mit dem Tabellenbuch nach.

b) Antrieb A: d1 = 58 mm; n1 = 3000 1/min; n2 = 750 1/min. Berechnen Sie d2 und i

c) Antrieb B: Die Übersetzung des Riemenantriebs sei 0,8, d1 = 240 mm und n1= 1750 mm. Berechnen Sie d2 und i

Lösungsvorschläge:

Lösungen zur Riementriebaufgabe

Beispiel aus der Praxis

 

Riementrieb im Motor (Gebläseantrieb, Generatorantrieb)Wir sehen uns ein an einem Motor ausgeführtes Riementrieb-System an. Der Antrieb erfolgt von der Kurbelwelle aus; die untere große Scheibe ist also Nummer 1. Von der Kurbelwellenscheibe, die zwei Rillen besitzt, geht ein Riemen zum Kühlluftgebläse und einer zum Generator. Die technischen Angaben des Antriebs finden Sie in den Bildern. Darin sind die drei Antriebsstränge voneinander getrennt gezeichnet. 

 

Der Gebläseantrieb enthält eine zusätzliche Spannrolle, mit der sich die Riemenspannung einstellen lässt. Diese hat keinen Einfluss auf das Übersetzungsverhältnis. Falls Ihnen dies nicht sofort einleuchtet, brauchen Sie sich nur vorzustellen, dass die Spannrolle weiter innen sitzt und so den Riemen nur ganz schwach nach links drückt. Für unsere Berechnung können wir davon ausgehen, dass es sich um zwei einfache Riemenübersetzungen handelt (strichpunktierte Linie in der mittleren Skizze).

Aufgaben dazu:

a) Welches Übersetzungsverhältnis liegt im Kühlluftgebläse-Antrieb vor?

b) Welchen Durchmesser besitzt die Gebläsescheibe?

c) Mit welcher Drehzahl läuft die Spannrolle?

d) Welche Laufgeschwindigkeit in m/s erreicht der Riemen?

Für den Generatorantrieb wollen wir etwas Anderes berechnen:

e) Wie groß ist der Achsabstand zwischen Kurbelwellenmitte und Generatormitte?

f) Welche ungefähre Länge besitzt der Keilriemen, wenn die Riemenscheibe auf dem Generator einen Durchmesser von 137 mm hat? (Anmerkung: Die Formel für die exakte Berechnung von Riemenlängen hat es in sich. In Berufsschulen wird sie deshalb ausgespart - daran halten auch wir uns.)

Lösungsvorschläge zu "Riementrieb im Motor"

Gebläseantrieb
Generatorantrieb
(wir schreiben keine Maßeinheiten) 

 

Riementrieb_loesung_150.jpg

Zum Üben:

So stellt man technische Formeln um

______________________

 

Ergänzung

Kommentar jo

Formel_Riemenlänge

Wir stellen die Formel l = ... nach a (= Achsabstand) um: 

 

Anzeige

Kommentare

51

Zum Artikel "Riementrieb Berechnung".

  • #1

    Hallo, Frage allgemein: An meiner Drehbank ist eine große Riemenscheibe, die ich leider nicht vergrößern kann. Sie ist zu schnell. Wenn ich am Motor eine größere anbaue, wird dann die Drehzahl kleiner ?

    schrieb Werner am

  • #2

    Hallo zusammen,
    ich bitte euch um Hilfe und versuche mal zu erklären.

    folgende Ausgangsposition haben wir
    - E-Motor mit 1460 Umdrehungen
    - Keilriemenscheibe Motor d= 250mm
    - Keilriemenscheibe Ventilator d=90mm
    - Luftmenge 6500 m³/h

    Wir möchten die Luftmenge in 500 m³/h schritten, bzw. um 1000m³/h reduzieren.
    Leider fehlt mir jeder Ansatz um dies zu berechnen.
    Ich hoffe ihr helft mir etwas auf die Sprünge.

    Danke Thomas

    schrieb Thomas am

  • #3

    Hallo
    Ich habe einen elektromotor mit 2800 U/min und benötige am anderen Ende aber 3600 U/ min.
    Wie gross müssen meine Riemenscheiben sein um das zu erreichen ?
    Besten Dank

    schrieb Peter U. am

  • #4

    Können Sie Ihre Anfrage präziseren, bitte?

    schrieb tec.LF am

  • #5

    Motordrehzahl bei 230/400V:
    2840min-1
    1,10kW 50Hz
    4,09/2,36A

    Motordrehzahl bei 440/480V:
    3435min-1
    1,29kW 60Hz
    2,42/2,32A

    Wie gross/kleun müsste das Zahnrad sein damit ich nur auf 120 Umdrehungen pro min. käme? Oder wie rechne ich das aus?

    schrieb Dini Andreas am

  • #6

    Hallo Herr Struhk,

    aus Ihrem Text lesen wir 2 Aufgaben heraus:
    1. Bei d1 = 95 und d2 = 32 ist i = 0,337.

    Wenn Sie n1 = 2850 und n2 = 4 500 wollen, ist i = 0,633
    Zu beachten Riemenlänge L und Übersetzungsverhältnis i haben nichts miteinander zu tun.

    2. Bei d1 = 50 und d2 = 32 ist i = 0,64. n2 ist dann 4 453 1/min.
    Mit Ihrer Gleichung L = 2e + 1,57 . (d2 + ... führt die Umstellung nach e nach längerer Rechnerei zu einer quadratischen Gleichung – wahrscheinlich ist es das, was sich Ihnen nicht erschließt, mit 2 Lösungen.
    Die Gleichung lautet am Ende
    2e hoch 2 – 337,26 e + 81 = 0
    Sie hat eine Lösung x1 = e = 168,4 mm.

    MIt den besten Grüßen
    tec.LF
    Ihr Kommentar

    schrieb tec.LEHRERFREUND am

  • #7

    Bitte um Hilfe!
    Länge eines Flachriemens 466mm gegeben. Jetzige Scheibe d1. 95 mm, bei n1 2850U/min am Motor, übertragen auf d2. 32 mm bedeutet ca. 8500U/min für n2. Ich möchte gerne den Riemen beibehalten, müßte also beide Scheiben in welches Verhältnis setzen, um eine Umdrehung 4500U/min bei d2. zu erzielen. Auch die einfachere Frage, wie viel länger der jetzige Achsabstand e. sich ändern würde, wenn ich bei Veränderung von d1. 50mm bei weiterhin 32mm d2 auf 4500U/min käme, erschließt sich mir nicht. Formel L=2e+1,57x(d2+d1)+(d2-d1)hoch 2:4e

    schrieb Martin Struhk am

  • #8

    Am Anfang wo die Formel erklärt wird, hat sich ein Fehler in der Beispielrechnung eingeschlichen! (Karopapier, Antrieb A Berechnung)
    d1=180mm   d2= 80mm   dann ist i   180/80=  2,25   und nicht 2,5

    schrieb Patrick am

  • #9

    Hallo,
    vielen Dank für die Antwort. Also bei meiner Aufgabe habe ich beides nicht gegeben, d.h. d1 UND d2 nicht? Deswegen bin ich grad verwirrt.

    MfG

    schrieb Onur am

  • #10

    Hallo Onur,
    das geht aus der Grundformel n1 : n2 = d2 : d1 hervor: Um z. B. d1 zu berechnen, müssen die Werte von d2, n1 und n2 bekannt sein. Kurz: Von den 4 Werten müssen immer drei bekannt sein, damit man einen berechnen kann.

    Gruß
    tecLF

    schrieb tecLEHRERFREUND am

  • #11

    Hallo,
    wie kann ich denn meine Wellendurchmesser (d1,d2) bestimmen? Welche Werte müssten gegeben sein?

    MfG

    schrieb Onur am

  • #12

    Hallo zusammen,

    habe mir Eure Rechnung auch nochmal genauer angesehen und mit meiner Lösung verglichen. Kurz gefasst: Beide Rechnungen sind OK!  Nachfolgend die Erklärung.

    Eine gute Überprüfungsmöglichkeit für Formeln ist die Betrachtung von Grenzfällen.
    ——————————————————————————————————
    Annahme: Beide Riemenscheiben sollen den gleichen Durchmesser haben (d1=d2).
    Damit sind die Umschlingungswinkel alpha1 und alpha2 gleich gross = 180°.

    Für diesen Fall lässt sich Eure Formel wie folgt vereinfachen:
    Riemenlänge L = 2 * {(d1 * pi * alpha1) / 360°} + 2 * a * sin(alpha2/2)
    ——————————————————————————————————

    Mit alpha1=alpha2=180° eingesetzt ergibt sich:
    Riemenlänge L = 2 * {d1 * pi * 180°/360°} +  2 * a * sin(180°/2)

    Nach Kürzen im ersten Term (2 * 1/2) und Ausrechnen (sin(180/2)=sin(90)=0) im zweiten Term ergibt sich eine korrekte Lösung für den angenommenen Grenzfall:

    ——————————————————————————————————
    Riemenlänge L = 2 * halber Umfang einer Riemenscheibe + 2 * gerade Riemenstücke
    Riemenlänge L = 2 * (d1 * pi / 2) +  2 * a
    ——————————————————————————————————

    Das ist schon ein guter Hinweis. Stimmt Eure Formel also doch? Und wenn ja, Was habe ich bei Eurer Formel übersehen? Des Rätels Lösung ergibt sich aus der Phasenbeziehung zwischen sin() und cos():

    ——————————————————————————————————
    sin(x) = cos(90-x), d.h. der sin() läuft dem cos() um 90° hinterher.
    ——————————————————————————————————

    Weiterhin gilt: 180° = 2 * tau + alpha2 (siehe Jo’s Zeichnung)
    Nach tau aufgelöst: tau = (180° - alpha2) / 2 = (90° - alpha2/2)

    ——————————————————————————————————
    sin(alpha2/2) = cos(tau)!
    ——————————————————————————————————

    Damit sind beide Formeln äquivalent:
    Riemenlänge L = Umschlingung Scheibe 1 + Umschlingung Scheibe 2 + 2 * gerade Riemenstücke

    Im Formelsatz:
    ——————————————————————————————————
    Riemenlänge L = (d1 * pi * (1/2 + tau / 180°)) + (d2 * pi * (1/2 - tau / 180°)) + 2 * Achsabstand a * cos(tau)
    ——————————————————————————————————

    oder eben:
    ——————————————————————————————————
    Riemenlänge L = (d1 * pi * alpha1) / 360° + (d2 * pi * alpha2) / 360° + 2 * Achsabstand a * sin(alpha2/2)
    ——————————————————————————————————


    Grüsse,
    mathefreak

    schrieb mathefreak am

  • #13

    Hallo mathefreak,

    vielen Dank für die Hinweise. Wir werden uns das alles mal genauer ansehen.

    Gruß
    tec.LF

    schrieb tec. LEHRERFREUND am

  • #14

    —korrigierte Fassung: grössere / kleinere Riemenscheibe korrekt verwendet—bitte nehmt diese Fassung, wenn Ihr dies publizieren wollt. Vielen Dank!!


    Hallo zusammen,

    Jo’s Ergänzung ist genau das, wonach ich ewig gesucht habe: eine Herleitung mit schöner Grafik - sehr gut!! Beim Nachrechnen ist mir jedoch ein kleiner Fehler aufgefallen - es wird leider der sin() anstelle des cos() verwendet.

    Im rechtwinkligen Dreieck gelten folgende Definitionen:
    ——————————————————————————————————
    sin(x) = Gegenkathete / Hypothenuse = (r1-r2) / Achsabstand a
    cos(x) = Ankathete / Hypothenuse = gerade Riemenstücke / Achsabstand a
    ——————————————————————————————————

    Damit ergibt sich für die geraden Riemenstücke jeweils: Achsabstand a * cos(tau). Davon haben wir insgesamt 2 Stück in der Formel zu berücksichtigen.

    Die Beziehungen für tau bzw. alpha an den jeweiligen Riemenscheiben sind korrekt, und damit auch die Berechnung der Umschlingungswinkel alpha1 und alpha2:

    ——————————————————————————————————
    alpha1 (die grössere Riemenscheibe) = 180° + 2 * tau
    alpha2 (die kleinere Riemenscheibe) =  180° - 2 * tau
    ——————————————————————————————————

    Damit ergibt sich für die gesamte Riemenlänge L:
    Riemenlänge L = Umschlingung Scheibe 1 + Umschlingung Scheibe 2 + 2 * gerade Riemenstücke

    ——————————————————————————————————
    Im Formelsatz:
    Riemenlänge L = (d1 * pi * alpha1) / 360 + (d2 * pi * alpha2) / 360 + 2 * Achsabstand a * cos(tau)
    ——————————————————————————————————

    Grüsse,
    mathefreak

    schrieb mathefreak am

  • #15

    Hallo zusammen,

    Jo’s Ergänzung ist genau das, wonach ich ewig gesucht habe: eine Herleitung mit schöner Grafik - sehr gut!! Beim Nachrechnen ist mir jedoch ein kleiner Fehler aufgefallen - es wird leider der sin() anstelle des cos() verwendet.

    Im rechtwinkligen Dreieck gelten folgende Definitionen:
    ——————————————————————————————————
    sin(x) = Gegenkathete / Hypothenuse = (r1-r2) / Achsabstand a
    cos(x) = Ankathete / Hypothenuse = gerade Riemenstücke / Achsabstand a
    ——————————————————————————————————

    Damit ergibt sich für die geraden Riemenstücke jeweils: Achsabstand a * cos(tau). Davon haben wir insgesamt 2 Stück in der Formel zu berücksichtigen.

    Die Beziehungen für tau bzw. alpha an den jeweiligen Riemenscheiben sind korrekt, und damit auch die Berechnung der Umschlingungswinkel alpha1 und alpha2:

    ——————————————————————————————————
    alpha1 (die grössere Riemenscheibe) = 180° + 2 * tau
    alpha2 (die grössere Riemenscheibe) =  180° - 2 * tau
    ——————————————————————————————————

    Damit ergibt sich für die gesamte Riemenlänge L:
    Riemenlänge L = Umschlingung Scheibe 1 + Umschlingung Scheibe 2 + 2 * gerade Riemenstücke

    ——————————————————————————————————
    Im Formelsatz:
    Riemenlänge L = (d1 * pi * alpha1) / 360 + (d2 * pi * alpha2) / 360 + 2 * Achsabstand a * cos(tau)
    ——————————————————————————————————

    Grüsse,
    mathefreak

    schrieb mathefreak am

  • #16

    Hallo Herr Benea,

    die Drehzahl einer Riemenscheibe (einer Welle, eines Zahnrads u. Ä.) kann man auch als Umdrehungsfrequenz bezeichnen, wobei es nicht üblich ist, dafür die Einheit Hz zu verwenden – dafür gibt es auch eine Norm.
    Da Ihnen aber eine Umdrehungsfrequenz von 53,7 Hz vorgegeben ist, rechnen wir:

    1 Hz = 60/min = 60 1/min = 60 min-1
    53,7 Hz entsprechen 53,7 ∙ 60 = (322,2 U/min) = 322,2 1/min = n1 in Ihrer Aufgabe.
    Dann ist die Drehzahl
    n2 = n1 ∙ (d1 : d2) = 322,2 1/min ∙ 11,1 cm : 32,5 cm =  110,04 1/min

    Gruß
    tec.LF

    schrieb tec. LEHRERFREUND am

  • #17

    Bei einem Riementrieb betragen die Durchmesser der Riemenscheiben 11,1 und 32,5 cm. Berechne die Drehzahl der größeren Scheibe, wenn die kleinere Scheibe eine Frequenz von 53,7 Hz hat. Angabe in U/min, wie geht das???

    schrieb Elias Benea am

  • #18

    Vielen Dank für die promte Antwort.
    Ich hatte am Antrieb vorher eine Keilriememscheibe von 22,5 mm und habe sie nun auf 15 mm ausgewechselt und stelle fest ,dass die Umdrehung merklich höher ausfällt.Denn 1350 /Min waren etwas schwach aber so geht es.

    schrieb Friedrich am

  • #19

    Hallo Friedrich,

    die Scheibe am E-Motor dreht mit n1 = 1350 1/min und hat d1 = 15 mm Durchmesser. Die Scheibe an der Säge ist d2 = 150 mm groß. 
    Dann dreht sie mit
    n2 = n1 x d1 / d2 = 1350 x 15 / 150 = 135/min.

    (Anmerkung: Dem Trieb täte bestimmt eine Umlenkrolle gut, damit der Umschlingungswinkel bei d1 ein bisschen größer wird.)

    Gruß
    tec.LF

    schrieb tec.LEHRERFREUND am

  • #20

    Ich habe eine kleine Bandsäge mit einem E-Motor mit einer Umdrehungszahl von 1350/Min und deren Riemenscheibe von 15 mm der Abrieb beträgt im Durchmesser 150 mm wieviel Umdrehungen ergibt der Gesamtbetrag?

    schrieb Friedrich am

  • #21

    Hallo tostbrot,

    die Scheibe am E-Motor dreht mit n1 = 3000 1/min und hat d1 = 162 mm Durchmesser. Die Kompressorscheibe dreht mit n2 = 2600 1/min.
    Dann ist die Scheibe
    d2 = n1 x d1 / n2 = 3000 x 162 / 2600 = 187 mm groß

    Gruß
    tec.LF

    schrieb tec.LEHRERFREUND am

  • #22

    Guten Tag! Ich habe folgendes problem beim umbau eines kolbenkompressors von benzin auf elektroantrieb! Der kompressor braucht 2600u/min um seine volle leistung zu bringen! Elektromotor 2,2kw 3000u/min Abtriebriemenscheibe 162mm Welche grösse muss die riemenscheibe am antrieb haben um die gewünschte drehzahl von 2600u/min am kompressor zu erhalten? Schon im vorraus vielen dank für eeine antwort:):)

    schrieb tostbrot am

  • #23

    Hallo engine,

    im Kommentar 24 (Willi) ist die Antriebsscheibe d1 = 80 mm und die Abtriebsscheibe d2 = 190 mm. Das Übersetzungsverhältnis i ist dann d2 : d1 = 190 mm : 80 mm = 2,375, was eine Übersetzung ins Langsame bedeutet.
    Ihr Denkfehler liegt darin, dass Sie in Ihrer Berechnung die Durchmesser verwechselt haben. Kann vorkommen.

    Gruß
    tec.LEHRERFREUND

    schrieb tec.LEHRERFREUND am

  • #24

    zu (#24)

    wenn
    d2 : d1 = i ,  80 mm : 190 mm = 0,42

    dann ist hier   i < 1
    bei “Merksatz” heißt es die Übersetzung geht in diesem Fall ins Schnelle.

    Bei der Berechnung (#24) haben wir eine Antriebsumdrehung von
    1000 U/min
    Es erfolgt allerdings eine Abtriebsumdrehung von 421 U/min

    Müsste hier nicht demnach eine Übersetzung ins Langsame herrschen?

    Wo ist mein Denkfehler?

    schrieb engine am

  • #25

    Ups, meinen Kommentar ziehe ich zurück. Man muss nur genau hinsehen und darf sich nicht (wie ich) von der Beschriftung ‘Antrieb B’ irritieren lassen…
    Sorry

    schrieb Michael am

  • #26

    Wenn der Index 1 immer die Antriebsseite bezeichnet, ist in der ersten Zeichnung für den Antrieb B alles falsch bezeichnet, oder?

    schrieb Michael am

  • #27

    Hallo Willi,

    die Antriebsscheibe hat den Index 1, die Abtriebsscheibe den Index 2. Sie suchen n2. 
    Aus der Grundgleichung
    d1 x n1 = d2 x n2 (x = Malzeichen) ergibt sich
    n2 = d1 x n1 : d2

    n2 = 421 U/min

    Gruß
    tec.LEHRERFREUND

    schrieb tec.LEHRERFREUND am

  • #28

    wie berechne ich die Umdrehungsgeschwindigkeit einer Keilriemenscheibe. Wenn die Antriebsscheibe einen Durchmesser von 80 mm und eine Umdrehungsgeschwindigkeit von 1000 Upm hat. Und die Abtriebsscheibe 190 mm Durchmesser. Wie hoch ist die Abtriebsumdrehung??

    Gruß Willi

    schrieb Willi am

  • #29

    Hallo Gemeinde,

    mal als kleiner Tipp, wer eine praxisnahe Berechnung (wer möchte, sogar mit Software) schaut mal bei der Firma Optibelt auf die Hp. Da gibt es Kataloge und Berechnungen on mas.

    Grüße von mir hier

    schrieb Krelli am

  • #30

    Prima danke schön!!!


    Gruß
    Markus

    schrieb Markus am

  • #31

    Hallo Markus,

    weil das Sägeblatt fest mit der Riemenscheibe 2 verbunden ist, dreht es genau so schnell wie die Riemenscheibe, also mit n2:
    n2 = n1 x d1 : d2
    n2 = 1430 U/min x 120 mm : 100 mm =
    n2 = 1716 U/min.

    Gruß
    tec.LEHRERFREUND

    schrieb tec.LEHRERFREUND am

  • #32

    Hallo
    ich komme mit meiner rechnerrei nicht weiter,könnt ihr mir helrfen?
    Ich habe einen Riementrieb der Motor macht 1430 U/min, die Riemenscheibe n1 ist 120mm groß, Riemenscheibe n2 100mm groß. n2 treibt ein 600mm großes Sägeblatt an.Wie schnell dreht sich das Sägeblatt?


    Gruß
    Markus

    schrieb Markus am

  • #33

    Hallo René,

    der Riemenformel-Gott nimmt, fürchten wir, keine Rücksicht auf Ihre durchaus praktischen Erwägungen. Er will, dass Sie mit dem Umschlingungswinkel alpha leben.
    Aber müssen Sie sich wirklich über alpha aufregen? Wir sagen: Nein!
    Sie werden ja kaum mit einem Riementrieb zu tun haben, er nicht mit Nachspannmöglichkeiten ausgerüstet ist. Vergessen Sie alpha einfach und nutzen Sie die Spanneinrichtung, um mit Ihren Riemen zurechtzukommen.
    Wenn Ihnen das zu rustikal erscheint: Machen Sie eine genaue, maßstäbliche Zeichnung der Ihnen vorliegenden Situation mit d1, d2 und a und messen Sie den Winkel tau heraus, mit dem Sie die Umschlingungswinkel ausrechnen können. Den Rest erledigen Sie mit der Riemenlänge-Formel.

    Grüße
    tec.LEHRERFREUND

    schrieb tec.LEHRERFREUND am

  • #34

    Sehr großen Dank für das Umstellen der Gleichung. Ganz offensichtlich ist nun aber ausser den Größen d1, d2 und l (Durchmesser der beiden Riemenscheiben und Umfangslänge des Riemens) auch noch der Winkel alpha vorzugeben. Dummerweise habe ich alpha aber nicht, nur die Bauteile und damit d1, d2 und l; ganz frei wählbar ist alpha aber auch nicht, denn gemäß der Dreiecksgesetze hängt alpha unter anderem auch vom Achsabstand a ab. Und an eben dieser Auflösung (Ersatz von alpha) durch einen Ausdruck mit nur den gegebenen Größen scheitere ich - leider. In meiner resultierenden Gleichung steht alpha, wie schon in Ihrer Formel, direkt als Faktor und später implizit in einem Teilterm ...cos(arcsin(.a..). Dafür bräuchte ich einen Kniff oder ich sollte ich doch schon mal den Rechenknecht warmlaufen lassen?

    Grüße und Dank
    René

    PS: mir ist durchaus klar, daß diese Problemstellung das Niveau der Berufsschule überschreiten könnte - das ist nicht abwertend gemeint!

    schrieb René am

  • #35

    Hallo René,

    es ist eigentlich kein Trick, sondern nur die Umstellung der Formel l = ... nach a = ...
    Wir haben das gemacht; Sie finden die Umstellung am Ende des Beitrags »Riementrieb Berechnung«.

    Beste Grüße
    tec.LEHRERFREUND

    schrieb tec.LEHRERFREUND am

  • #36

    Fein, fein, die angegebene exakte Lösung liefert das gleiche Ergebnis wie meine selbsterarbeitete Lösung, also stimmt meine “Hausaufgabe”.

    Allerdings habe ich in der Praxis typischerweise eher das umgekehrte Problem: Riemenscheiben und Riemen sind standardisierte Katalogware und ich hätte gerne den richtigen Achsabstand ermittelt.

    Seit einiger Zeit versuche ich nun also die exakte Gleichung analytisch geschlossen so umzustellen, daß ich den Achsabstand als Funktion der Scheibendurchmesser (oder -radien) und des Riemenumfangs bekomme. Mittlerweile habe ich schon das gesammelte Wissen der Herren Bronstein, Semendjajew, Musiol und Mühlig über Dreiecke, trigonometrsiche Funktion und wer weiß was noch zu Rate gezogen, und komme zu dem Schluß, daß hier jetzt entweder numerische Verfahren oder Taylor-Reihen angesagt sind, weil in dieser Richtung für das Dreieck eine weitere Angabe fehlt. Andererseits werde ich das Gefühl nicht los etwas übersehen zu haben, vielleicht ein Additionstheorem? Gibt es da möglicherweise noch einen Trick vom Fachmann?

    Gruß
    René

    schrieb René am

  • #37

    Hallo André,

    auf dem Motor sitzt die kleinere Scheibe, am Abtrieb die größere. Die Drehzahlen n1 : n2 bilden das Verhältnis 2:1 = 2800 : 1400. Bei den Scheibendurchmessern ist es umgekehrt: d2 : d1 = 2:1. Beispiel: Antrieb d1 = 75 mm, Abtrieb d2 = 150 mm.
    Gruß
    tec.LEHRERFREUND

    schrieb tec.LEHRERFREUND am

  • #38

    Scheine leider auch zu blöd für Formeln zu sein :-(( Habe einen Motor,der 2800 Umdrehungen macht,benötige aber nur 1400 Umdrehungen,wie groß müßten dann die Riemenscheiben sein???

    Mit freundlichen Grüßen
    Andre

    schrieb Andre am

  • #39

    Hallo jo,

    jetzt machen wir´s doch einmal genauer. Oben in »Ergänzung, Kommentar jo« habe ich Ihnen die genaue Längenformel aufgeschrieben. Die Näherungsrechnung für das ausgewählte Beispiel führte demnach zu dem fast vernachlässigbaren Fehler von etwa 0,7 Prozent. Sollte man eigentlich springen lassen können, oder?

    Gruß
    tec. LEHRERFREUND

    schrieb tec.LEHRERFREUND am

  • #40

    hallo nochmal, ich meinte aufgabe f). ich finde als näherung zweimal den achsabstand zu nehmen doch etas sehr stark vereinfacht. unterrichte selber an ner berufsschule, deshalb ist mir schon klar, dass eine genaue berechnung nicht im sinne des erfinders ist.

    mfg

    schrieb jo am

  • #41

    ich habe da einen Rundungsfehler gefunden und zwar bei der Aufgabe f das endergebnis muss lautten 1519mm.
    ansonsten Klasse sache !!

    schrieb Leubert77 am

  • #42

    Hallo jo,

    falls Sie Aufgabe e) meinen: Die haben wir mit dem Pythagoras gerechnet, weshalb auch ein exaktes Ergebnis herauskommt.
    Falls Sie aber Aufgabe f) meinen: Die Riemenlänge ist in der Tat angenähert. Aber lesen Sie bitte auch die Anmerkung: Die Formel für die exakte Berechnung von Riemenlängen hat es in sich. In Berufsschulen wird sie deshalb ausgespart - daran halten auch wir uns.

    Gruß
    tec.LEHRERFREUND

    schrieb tec.LEHRERFREUND am

  • #43

    Also die Nährung für x ist wohl etwas sehr stark genähert. Man könnte wenigstens davon ausgehen, dass der Riemen jeweils die Kurbeln zur Hälfte umschlingt und somit über nen Pythagoras und den Durchmessern was nettes konstruieren, oder?

    schrieb jo am

  • #44

    Hallo Jakob,

    vielen Dank für den Hinweis. n2 wurde in i abgeändert.

    Gruß
    tec.LEHRERFREUND

    schrieb tec.LEHRERFREUND am

  • #45

    Riementrieb Aufgabe b) muss es heißen berechnen Sie d2 und i :)

    schrieb Jakob am

  • #46

    Hallo Hermann,

    in Ihrem Beispiel liegt eine Übersetzung ins Schnelle vor. Die Grundformel heißt
    n1 x d1 = n2 x d2
    Sie suchen d2: d2 = n1 x d1 : n2
    d2 = 400 U/min x 63 mm : 600 U/min =
    d2 =  42 mm

    Gruß
    tec.LEHRERFREUND

    schrieb tec.LEHRERFREUND am

  • #47

    Ich glaub ich bin mitlerweile zu blöde für
    diese Welt.ich komm mit den Formeln nicht klar.
    Ich habe eine Drehzahl von 400 u/min bei einer 63mm Riemenscheibe und will auf 600 u/min kommen.welche riemenscheibe muss ich da nehmen?
    HILFE
    Danke im Vorraus

    schrieb Hermann am

  • #48

    Hallo Werner!

    Na, wenn der Meister dat schon sacht,
    dann b´hüt di Gott und gute Nacht!
    Wusste für den Ausspruch er einen Grund?
    Oder is der Mann sonstwie nich gesund?

    Gruß
    tec. LEHRERFREUND

    schrieb tec.LEHRERFREUND am

  • #49

    diese rechnung ist totaler mist, unser meister sagt drehzahl brauchen wa nicht

    schrieb Werner am

  • #50

    Hallo Wolfram, Carsten,

    Sie haben Recht und ich bitte um Entschuldigung dafür: Mir ist die Spannrolle (ø112) auf die Generatorwelle gerutscht. Der reine Unfug! Die Aufgabe f) ist so nicht lösbar, weil von der Generatorseite zu wenig bekannt ist.
    Ich gehe von Ihrem Einverständnis aus, die exakte Riemen(monster)formel nicht zu verwenden. Ich habe mich in f) für eine leichte Textänderung entschieden, die Sie jetzt im Beitrag nachlesen können.

    Viele Grüße
    tec.LEHRERFREUND

    schrieb tec.Lehrerfreund am

  • #51

    Bei Lösung zu “Riementrieb im Motor”

    f) Länge des Keilriemen

    Rechnung ist für mich nicht nachvollziehbar. Würde mich über Aufklärung freuen.

    Vielen Dank im Voraus.

    schrieb Wolfram, Carsten am

Ihr Kommentar

zum Artikel "Riementrieb Berechnung".



Wir speichern Ihren Kommentar dauerhaft ab (was auch sonst?). Mehr dazu in unserer ausführlichen Datenschutzerklärung.

Andere tec.Lehrerfreund/innen lasen auch:

Anzeige
Nach oben

 >  646 Einträge, 952 Kommentare. Seite generiert in 0.4502 Sekunden bei 123 MySQL-Queries. 270 Lehrer/innen online (3 min Timeout / 2084 ) |