Hydraulik (2): Hydraulische Presse 02.05.2010, 10:14
Das Prinzip der hydraulischen Presse: Mit einer kleinen Kraft am Druckkolben wird eine große Kraft am Arbeitskolben erzeugt. Die Anwendung dieses Prinzips findet man in zahlreichen hydraulischen Systemen, wie etwa in Kfz-Bremsanlagen. Übungsaufgaben helfen, das Wichtigste zu verstehen.
Hydraulische Presse
In der hydraulischen Presse sind ein Druckkolben und ein Arbeitskolben über eine gemeinsame Leitung verbunden. Mit einer kleinen Kraft am Druckkolben kann eine große Kraft am Arbeitskolben erzeugt werden. Dieses Prinzip wird in zahlreichen hydraulischen Systemen angewandt.
Bezeichnungen:
Druckkolben
d1 Kolbendurchmesser mm
A1 Kolbenfläche cm2
s1 Kolbenweg mm
V1 verdrängtes Ölvolumen dm3
F1 Kolbenkraft daN
pe Öldruck Bar
Arbeitskolben
d2 Kolbendurchmesser mm
A2 Kolbenfläche cm2
s2 Kolbenweg mm
V2 verdrängtes Ölvolumen dm3
F2 Kolbenkraft daN
Mathematische Gesetzmäßigkeiten
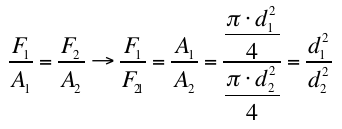
Weil der Öldruck pe im gesamten Ölraum zwischen Druck- und Arbeitszylinder gleich groß ist, gilt (ohne Berücksichtigung von Reibungs- und Leckverlusten):

Hieraus ergibt sich:

Diese Formel sagt aus: Die Kolbenkräfte F verhalten sich wie die Kolbenflächen A oder wie die Quadrate der Kolbendurchmesser d.
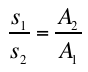
Der Arbeitszylinder nimmt das vom Druckkolben verdrängte Ölvolumen auf: V1 = V2.
Daraus und aus V1 = A1 ⋅ s1 und V2 = A2 ⋅ s2 folgt:

das heißt: Die Kolbenwege verhalten sich umgekehrt wie die Kolbenflächen.
1. Übung: Hydraulische Presse
(Die Schemaskizze unten ist keine ausführliche, aber für die Aufgabe ausreichende Darstellung).
Die Kolbendurchmesser sind: d1 = 24 mm, d2 = 80 mm
a) Welche Kraft entsteht am Druckkolben (rechts)?
b) Welche Kraft F2 entsteht am Arbeitskolben?
c) Der Druckkolbenhub ist 40 mm. Der Arbeitskolben soll um 5 cm angehoben werden. Wie viele Pumpenhübe sind dafür erforderlich?
Lösung
a) F1 = F ⋅ l : l1 –> F1 = 120 N ⋅ 500 mm : 80 mm =
F1 = 750 N
b) F1 / F2 = d12 / d22 –> F2 = 750 N ⋅ (80 mm)2 : (24 mm)2
F2 = 8 333 N
c) s1/s2 = A2 / A1 = d22 / d12 –> s1 = d22 / d12 ⋅ s2
s1 = 55,55 cm; das ist die Summe aller Pumpenhübe. Bei 40 mm/Hub ergibt dies
nH = 55,55 cm : 4 cm pro Hub = 13,9 Hübe
2. Übung: Druckübersetzer
Soll bei geringem Eingangsdruck in einem hydraulischen System trotzdem eine hohe Ausgangskraft erreicht werden, dann verwendet man Druckübersetzer. Dabei wirkt der kleine Luftdruck pe1 auf einen großen Kolben, der mit einem kleinen Kolben fest verbunden ist (hier ø 200 und ø 72). Der Druck pe2 hinter dem kleinen Kolben ist entsprechend dem Verhältnis der beiden Kolbenflächen größer als pe1. Mit dem höheren Druck lässt sich über einen dritten Kolben (hier ø 175) die gewünschte hohe Kraft verwirklichen.
Aufgabe
Im Pneumatikzylinder wirkt pe1 = 5 bar. Zwei Wirkungsgrade sind zu berücksichtigen: η1 = 0,75 auf der Pneumatikseite; η2 = 92% auf der Hydraulikseite. Zu berechnen sind:
a) pe2
b) F2
Lösung
a) F1 = pe1 • A200 • η1 = 5 daN/cm2 • π/4 • (20 cm)2 • 0,75 = 1178,1 daN
pe2 = F1 : A72 = 1178,1 daN : (7,2 cm)2 • π/4 =
pe2 = 28,94 daN/cm2 = 28,94 bar
b) F2 = pe2 • A175 • η2 = 28,94 daN/cm2 • π/4 • (17,5 cm)2 • 0,92 =
F2 = 6 404 daN
3. Übung: Fahrzeugbremse
Über den vom Bremspedal betätigten Hauptbremszylinder werden die vier Radbremszylinder mit Öldruck beaufschlagt. (In der Skizze ist vereinfacht nur einer der vier Radbremszylinder dargestellt).
Aufgabe
Angaben zum Hauptbremszylinder
d1 = 16 mm
Vom Pedal her auf den Kolben 1 wirkende Kraft FP = 150 N
Angaben zum Radbremszylinder
d2 = 24 mm
Kolbenweg s2 = 1,5 mm
Angaben zur Bremsscheibe
Die Kolben 2 wirken an einem mittleren ø dB = 220 mm
Zu berechnen sind
a) Der Öldruck in der Bremsleitung
b) Kolbenweg s1 im Hauptbremszylinder
c) Kolbenkraft F2 im Radbremszylinder
d) Der Pedalweg, wenn am Pedal ein Hebelverhältnis i = 4,6 vorhanden ist.
e) Das Bremsscheibenmoment = Bremsmoment
Lösungen
a) Öldruck
pe = FP : A1 = 150 N : (1,6 cm)2 • π/4 = 74,6 N/cm2 =
pe = 7,46 bar
b) Kolbenweg s1
(Anmerkung: Der nachfolgende Kolbenweg s2 = 1,5 mm gilt für beide Kolbenseite zusammen.)
s1 / s2 = A2 / A1 = d22 / d12 –> s1 = d22 / d12 ⋅ s2 =
s1 = (24 mm)2 : (16 mm)2 • 1,5 mm =
s1 = 3,375 mm
c) Kolbenkraft F2
F2 = 7,46 daN/cm2 ⋅ (2,4 cm)2 • π/4 =
F2 = 33,75 daN
d) Pedalweg sP
i = sP : s1 –> sP = i ⋅ s1 = 4,6 ⋅ 3,375 mm =
sP = 15,525 mm
e) Bremsmoment
MB = F2 ⋅ dB/2 = 337,5N ⋅ 0,22 m / 2 =
MB = 37,13 Nm
____________________
Weitere Anwendungen des Themas: der Rangierwagenheber und Hubbühne



