Hydraulik (3): Kolbengeschwindigkeit 04.05.2010, 20:09
Wie schnell der Kolben in einem Hydraulikzylinder gleitet, hängt vom Pumpen-Volumenstrom (Liter pro Minute) und von der Kolbenfläche (Quadratzentimeter) ab. Beim tec.LEHRERFREUND Berechnungen dazu.
Kolbengeschwindigkeit und Durchflussgeschwindigkeit in Rohrleitungen
In vielen Maschinen sind Hydraulikzylinder unverzichtbare Arbeitselemente. Zusammen mit entsprechenden Ventilen erlauben sie die Einhaltung von gleich bleibenden Geschwindigkeiten und deren stufenlose Veränderung.
Von einer Pumpe wird dem Zylinder eine bestimmter Öl-Volumenstrom Q zugeteilt. Diesen gibt man in Liter pro Minute (= l/min = dm3/min) an. Der dem Volumenstrom ausweichende Kolben gleitet dabei mit der Geschwindigkeit v. Sie ist abhängig vom Volumenstrom und von der Kolbenfläche A. Bei doppelt wirkenden Zylindern wird die Kolbengeschwindigkeit größer, wenn das Öl auf der Kolbenstangenseite einströmt. Dies nutzt man für den Rücklauf - bei Werkzeugmaschinen der Eilgang -, der meistens keine Arbeit verrichtet und deshalb schnell vor sich gehen soll.
Die Berechnungen von Kolbengeschwindigkeiten und Rohr-Durchflussgeschwindigkeiten basieren auf denselben Formeln. Dabei ist zu beachten, dass in der Volumenstrom-Angabe Dezimeter (Liter pro Minute) stehen, die wegen der Geschwindigkeit (m/s) in Meter umgerechnet werden muss.
Kolbengeschwindigkeit = Rohr-Durchflussgeschwindigkeit
v = Q : A (in l/min : dm2 = dm3/min : dm2 = dm/min)
1 m/min = 10 dm/min; 1 dm/min = 0,1 m/min
Übungsbeispiele
Übung 1:
Q = 40 l/min; d1 = 52 mm; d2 = 30 mm
a) Wie groß ist die Kolbengeschwindigkeit in m/min?
b) Wie groß ist die Rücklaufgeschwindigkeit in m/min?
Lösungen
a) vvorwärts = Q : A1 = 40 dm3/min : (0,52 dm)2 • π/4 = 188,35 dm/min =
vvorwärts = 18,84 m/min
b) vrückwärts = Q : A2 = 40 dm3/min : [(0,52 dm)2 - (0,30 dm)2] • π/4 =
vrückwärts = 28,2 m/min
Übung 2:
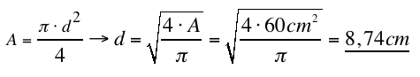
Bei einem Volumenstrom von 30 l/min soll eine Kolbengeschwindigkeit von 5 m/min erreicht werden. Wie groß muss der Kolbendurchmesser sein?
Lösung
5 m/min = 50 dm/min
v = Q : A –> A = Q : v = 30 dm3/min : 50 dm/min = 0,6 dm2 = 60 cm2

Übung 3:
Um Reibungsverluste gering zu halten, soll die Durchflussgeschwindigkeit in Rohrleitungen 3 m/s nicht überschreiten. Eine Zahnradpumpe fördert 30 Liter Öl pro Minute. Wie groß wird die Ölgeschwindigkeit im Rohr, wenn dieses einen Innendurchmesser von 16 mm hat?

Lösung:
v = Q : A = 32 dm3/min : (0,16 dm)2 • π/4 = 1592 dm/min = 159,2 m/min
v = 2,65 m/s –> Die Fließgeschwindigkeit bleibt unter 3 m/s
Zur Zahnradpumpe:
Eine Zahnradpumpe besteht aus drei Baugruppen: Gehäuse mit Zu- und Ablauf, dazu zwei Zahnräder. Bei der Außenzahnradpumpe mit Evolventenverzahnung wird das zu fördernde Medium in den Zahnlücken von der Saugseite zur Druckseite transportiert. Zahnradpumpen sind wegen ihres einfachen Aufbaus robust und preiswert.
Animationsbild WIKIPEDIA

Amerkung: Beim Betrachten des bewegten Bilds entsteht eine Bewegungsillusion. Sehen Sie lange genug hin, dann müssten sich die Zahnräder im eingezeichneten Pfeilsinn drehen.
