Hydraulik (1): Kolbenkräfte 29.04.2010, 10:58
Ein großer Teil der in Handwerk und Industrie eingesetzten Maschinen und Geräte wird mit pneumatischen und hydraulischen Systemen betrieben. Die Hydraulik überträgt Kräfte überwiegend mit Öl, die Pneumatik mit Luft. Kraftübertragungselemente sind oft in Zylindern gleitende Kolben. Wie berechnet man die Kolbenkräfte?
Hydraulik und Pneumatik: Kolbenkräfte
Ein großer Teil der Maschinen und Geräte in Handwerk und Industrie wird mit pneumatischen und hydraulischen Systemen betrieben. Die Hydraulik überträgt Kräfte überwiegend mit Öl, die Pneumatik mit Luft. Kraftübertragungselemente sind oft in Zylindern gleitende Kolben.
Kolbenkräfte
Der Gas- und Flüssigkeitsdruck breitet sich im Zylinder gleichmäßig aus. Die dabei entstehende Kolbenkraft F hängt ab von der Größe
- des Drucks pe
- der Kolbenfläche A
- des Wirkungsgrads η.
Allgemein berücksichtigt der Wirkungsgrad η Verluste, die in einer Anlage auftreten: Reibungsverluste, Wärmeverluste usw. In Zylindern, Hydropumpen und -motoren, Ventilen usw. sind es meistens Reibungsverluste.
Berechnungsformel:
Kolbenkraft F = pe • A • η
Rechnungsbeispiel 1: Arbeitszylinder
Kolbendurchmesser 60 mm
Druck 120 bar
Wirkungsgrad 0,9
Mit welcher Kraft wird der Kolben nach rechts geschoben?
Lösung:
F = pe • A • η = 120 daN/cm2 • π/4 • (6 cm)2 • 0,9 =
F = 3 054 daN
Anmerkung: Wirkt der Druck auf der Kolbenstangenseite, dann entsteht eine kleinere Kolbenkraft. Grund: Die wirksame Kolbenfläche ist um den Kolbenstangenquerschnitt kleiner.
Rechnungsbeispiel 2: Bremskraftverstärker
Der Bremskraftverstärker ist ein Hilfsmittel in Antrieben mit Otto-Motor. Beim Bremsen unterstützt er die Fußkraft. Dabei herrscht im rechten Dosenraum ein unter dem Umgebungsluftdruck liegender Unterdruck –pe. So kann der Außenluftdruck die Membrane zusammen mit der Kolbenstange nach rechts drücken. Dabei schiebt der kleine Kolben Öl in den Hauptbremszylinder.
Zu berechnen ist die Verstärkerkraft FV, wenn die Membrane einen wirksamen Durchmesser von 200 mm hat. (Der Wirkungsgrad - hier annähernd 100% - bleibt unberücksichtigt).
Lösung:
Bei einem absoluten Druck auf der Saugseite von pabs = 0,6 bar und einem pamb = 1 bar auf der linken Seite ist die nutzbare Druckdifferenz pe = 0,4 bar.
FV = pe • A = 0,4 daN/cm2 • π/4 • (20 cm)2 =
FV = 126 daN = 1 260 N
Rechnungsbeispiel 3: Spannvorrichtung 1
Der Öldruck verstärkt über eine Hebelübersetzung die auf das Werkstück wirkende Spannkraft F2.
Gegeben:
pe = 40 bar
F2 = 3600 N
η = 85%
Der Durchmesser des Kolbens im Spannzylinder ist zu berechnen.

Lösung:
(Zahlen bitte selbst einsetzen)
Hebelgesetz: F2 ⋅ l2 = F1 ⋅ l1 –> F1 = 3000 N
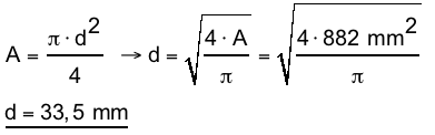
F1 = pe ⋅ A ⋅ η
A = F1 / (pe ⋅ η) = 8,82 cm2

Rechnungsbeispiel 4: Spannvorrichtung 2
Ein Pneumatikzylinder (im Bild der untere Zylinder) spannt über einen Hebel das Werkstück. Es soll eine Spannkraft F2 = 600 daN erreicht werden. Der Wirkungsgrad bleibt unberücksichtigt. Zu berechnen sind:
a) die Kolbenkraft F1
b) der Kolbendurchmesser d1, wenn pe = 5 bar.
Lösung:
a) F1 ⋅ 100 mm = 600 daN ⋅ 72 mm –>
F1 = 432 daN
b) A1 = F1 : pe = 432 daN : 5 daN/cm2 = 86,4 cm2
A1 = d12 ⋅ π/4 –> d12 = A1 ⋅ 4/π = 110 cm2
d1 = 10,5 cm = 105 mm
______________________
Studieren Sie auch den Beitrag »Formeln umstellen«


